लक्ष्यभन्दा करिब डेढ खर्ब कम राजस्व, फागुनसम्म ७ खर्ब ५१ अर्ब मात्रै उठ्यो

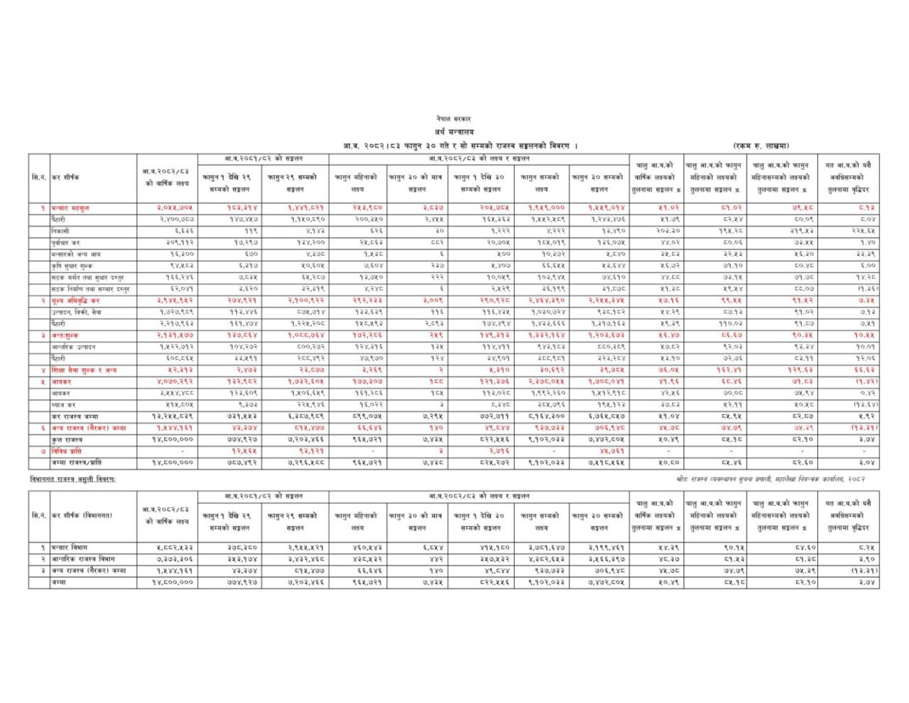
काठमाडौँ । चालु आर्थिक वर्ष २०८२/८३ को आठ महिनाको अवधिसम्म सरकारले राजस्व सङ्कलनमा लक्ष्यभन्दा उल्लेख्य कमी व्यहोरेको छ। राजस्व व्यवस्थापन सूचना प्रणालीको तथ्याङ्कअनुसार फागुन मसान्तसम्म सरकारले ७ खर्ब ५१ अर्ब ८६ करोड रुपैयाँ राजस्व सङ्कलन गरेको हो । यो रकम सो अवधिका लागि तय गरिएको ९ खर्ब १० अर्ब २० करोड रुपैयाँको लक्ष्यको ८२.६० प्रतिशत मात्र हो।
सरकारले चालु आर्थिक वर्षका लागि कुल १४ खर्ब ८० अर्ब रुपैयाँ राजस्व सङ्कलन गर्ने लक्ष्य राखेको थियो। तर आर्थिक गतिविधि सुस्त रहनु, आयात घट्नु तथा उद्योग–व्यवसाय अपेक्षाकृत सक्रिय हुन नसक्दा राजस्व सङ्कलनमा दबाब देखिएको छ। आठ महिनाको अवधिमा लक्ष्यअनुसार राजस्व नउठ्दा वार्षिक लक्ष्य पूरा हुने विषयमा पनि चुनौती थपिएको देखिन्छ।
फागुन महिनामा मात्रै सरकारले ९६ अर्ब ५७ करोड रुपैयाँ राजस्व सङ्कलन गर्ने लक्ष्य राखेको थियो। तर महिनाभरिमा जम्मा ८२ अर्ब ५३ करोड रुपैयाँ मात्रै उठेको छ । यो मासिक लक्ष्यको ८५.४६ प्रतिशत हो। लक्ष्यभन्दा करिब १४ अर्ब रुपैयाँ कम राजस्व उठेको देखिन्छ।
फागुन महिनाको अन्तिम दिन अर्थात् फागुन ३० गते मात्रै ७४ करोड रुपैयाँ राजस्व सङ्कलन भएको थियो। महिनाको अन्तिम दिन राजस्व बढ्ने अपेक्षा गरिए पनि लक्ष्यअनुसार उठ्न नसकेको तथ्याङ्कले देखाएको छ।
यसैबीच, गत आर्थिक वर्ष २०८१/८२ को सोही अवधिसँग तुलना गर्दा पनि राजस्व सङ्कलनको अवस्था धेरै उत्साहजनक देखिँदैन। गत वर्ष सरकारले वार्षिक रूपमा १४ खर्ब १९ अर्ब ३० करोड रुपैयाँ राजस्व सङ्कलन गर्ने लक्ष्य राखेको थियो। त्यसमध्ये फागुनसम्मको लक्ष्य ८ खर्ब ६५ अर्ब ८१ करोड रुपैयाँ थियो।
गत आर्थिक वर्षमा भने फागुन २९ गतेसम्म सरकारले ७ खर्ब २९ अर्ब ६६ करोड रुपैयाँ राजस्व सङ्कलन गरेको थियो। त्यस्तै फागुन महिनामा मात्रै ७८ अर्ब ७५ करोड रुपैयाँ राजस्व उठेको थियो।
राजस्व लक्ष्य प्राप्तिका लागि सरकारले कर प्रशासन सुधार, कर दायरा विस्तार तथा राजस्व चुहावट नियन्त्रणलाई प्राथमिकता दिँदै आएको भए पनि त्यसको प्रभाव अपेक्षाअनुसार देखिन सकेको छैन। व्यवसायिक क्षेत्र अझै पूर्ण रूपमा चलायमान हुन नसक्दा कर आधार विस्तारमा पनि चुनौती देखिएको छ।













